
\[ \Phi (x, \mu, \sigma) = \frac{1}{\sigma \sqrt{2 \pi}} e^{-\frac{1}{2}(\frac{x - \mu}{\sigma})^2} \]
jk use a computer
NORM.DIST function to calculate probabilities from normal distributions=NORM.DIST(60, 63.5, 2.74, TRUE) is the probability that an American woman is 5 feet (60 inches) or less=NORM.DIST(60, 63.5, 2.74, TRUE) is the probability that an American woman is 5 feet (60 inches) or lessArshad, Hu, and Ashraf (2018)


The sampling distribution of the mean of a simple random sample of \(n\) individuals has:
=NORM.INV(RAND(), 63.5, 2.74) in cell A1=AVERAGE(A1:A100)=STDEV(A1:A100)95% chance the sample mean is in the shaded area
T.INV function=T.INV(0.975, df) where df is degrees of freedom
=AVERAGE(A:A) 68,228.58=STDEV(A:A) 68,882.57=COUNT(A:A) 50=T.INV(0.975, 49) 2.01pums.xlsx file from Canvas=COUNTIF(A2:A101, "Auto, truck, or van") 85=COUNTA(A2:A101) 100
=D1 / D2 (your cells may vary) 0.85=SQRT(D3 * (1 - D3)) / SQRT(D2) 0.04=1.96 * D4 0.07=D2 - D5, =D2 + D5 0.78, 0.92=COUNTIF(A2:A101, "Auto, truck, or van") 82=COUNTA(A2:A101) 100
=D1 / D2 (your cells may vary) 0.82=SQRT(D3 * (1 - D3)) / SQRT(D2) 0.04=1.96 * D4 0.08=D2 - D5, =D2 + D5, 0.74, 0.9
\[ H_0: \mu_{VT} \geq 25.6 \]
\[ H_1: \mu_{VT} < 25.6 \]
\[ t = \frac{\bar x - x_0}{SE_{\bar x}} \]
\[ t = \frac{22.4 - 25.6}{12.9 / \sqrt{100}} = \frac{-3.2}{1.29} = -2.5 \]
=T.DIST(t, df, TRUE)=T.DIST(-2.5, 99, TRUE) 0.007=AVERAGE(A2:A51), 68,229=STDEV(A2:A51), 68,883=T.DIST(-1.72, 49, TRUE), 0.046=AVERAGE(A2:A51), 68,229=STDEV(A2:A51), 68,883=T.DIST(1.19, 49, TRUE), 0.881=1 - T.DIST(1.19, 49, TRUE), 0.119
=T.DIST.2T() function for a two tailed test; all it does is double the probability value=AVERAGE(A2:A51), 68,229=STDEV(A2:A51), 68,883=T.DIST(-1.72, 49, TRUE) * 2, 0.091=T.DIST.2T(1.72, 49), 0.091\[ H_0: \mu_1 = \mu_2 \]
\[ H_1: \mu_1 \neq \mu_2 \]
\[ H_0 = \mu_1 - \mu_2 = 0 \]
\[ H_1 = \mu_1 - \mu_2 \neq 0 \]
roadway_sensors.xlsx file from Canvas=B2-A2\[ SE(\bar x_1 - \bar x_2) = \sqrt{\frac{s_1^2}{n_1} + \frac{s_2^2}{n_2}} \]
where \(s_1\) is the standard deviation (not standard error) for the first sample, \(n_1\) is the sample size, likewise for \(s_2\) and \(n_2\)
\[ SE(\bar x_1 - \bar x_2) = \sqrt{\left(\frac{s_1}{\sqrt{n_1}}\right)^2 + \left(\frac{s_2}{\sqrt{n_2}}\right)^2} \]
\[ SE(\bar x_1 - \bar x_2) = \sqrt{SE(\bar x_1)^2 + SE(\bar x_2)^2} \]
\[ \frac{ \left(\frac{s_1^2}{n_1} + \frac{s_2^2}{n_2}\right)^2 }{ \frac{\left(\frac{s_1^2}{n_1}\right)^2}{n_1-1} + \frac{\left(\frac{s_2^2}{n_2}\right)^2}{n_2 - 1} } \]
\[ \frac{ SE(\bar x_1 - \bar x_2)^4 }{ \frac{ SE(\bar x_1)^4 }{ df_1 } + \frac{ SE(\bar x_2)^4 }{ df_2 } } \]
where \(SE(\bar x_1)\) is the standard error of the mean of the first sample, \(SE(\bar x_1 - \bar x_2)\) is the standard error of the difference, and \(df_1\) is degrees of freedom for the mean of the first sample (with similar definitions for the second sample)
\[ SE(\bar x_1 - \bar x_2) = \sqrt{\frac{s_1^2}{n_1} + \frac{s_2^2}{n_2}} \]
\[ \sqrt{\frac{16.2^2}{144} + \frac{17.5^2}{100}} = \]
2.21
\[ \frac{ SE(\bar x_1 - \bar x_2)^4 }{ \frac{ SE(\bar x_1)^4 }{ df_1 } + \frac{ SE(\bar x_2)^4 }{ df_2 } } \]
\[ \frac{ 2.21^4 }{ \frac{1.35^4}{143} + \frac{1.75^4}{99} } = \]
202.2 😅
=T.DIST.2T(1.18, 202.2) = 0.24| Education | Rural | Urban | Total |
|---|---|---|---|
| College | 9 | 18 | 27 |
| High school or some college | 26 | 39 | 65 |
| Less than high school | 7 | 22 | 29 |
| Total | 42 | 79 | 121 |
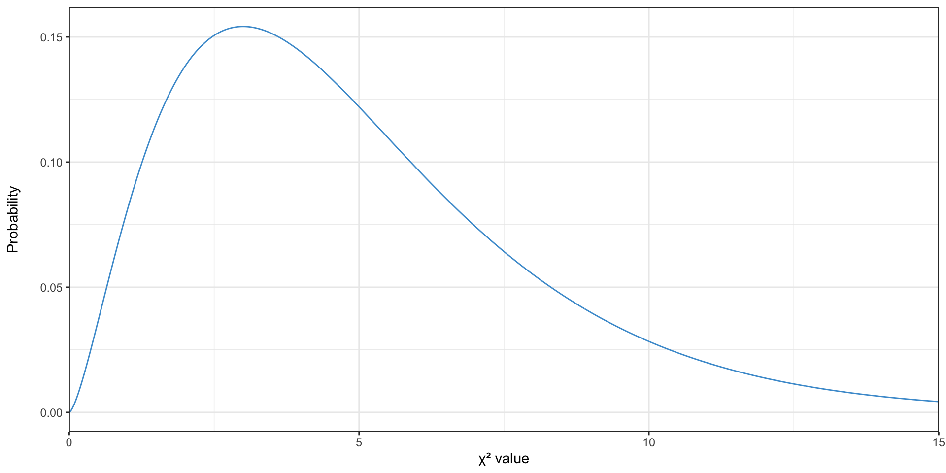
\[ \chi^2 = \sum\limits_{c=1}^{C} \sum\limits_{r=1}^{R} \frac{\left(O_{cr} - E_{cr}\right)^2}{E_{cr}} \]


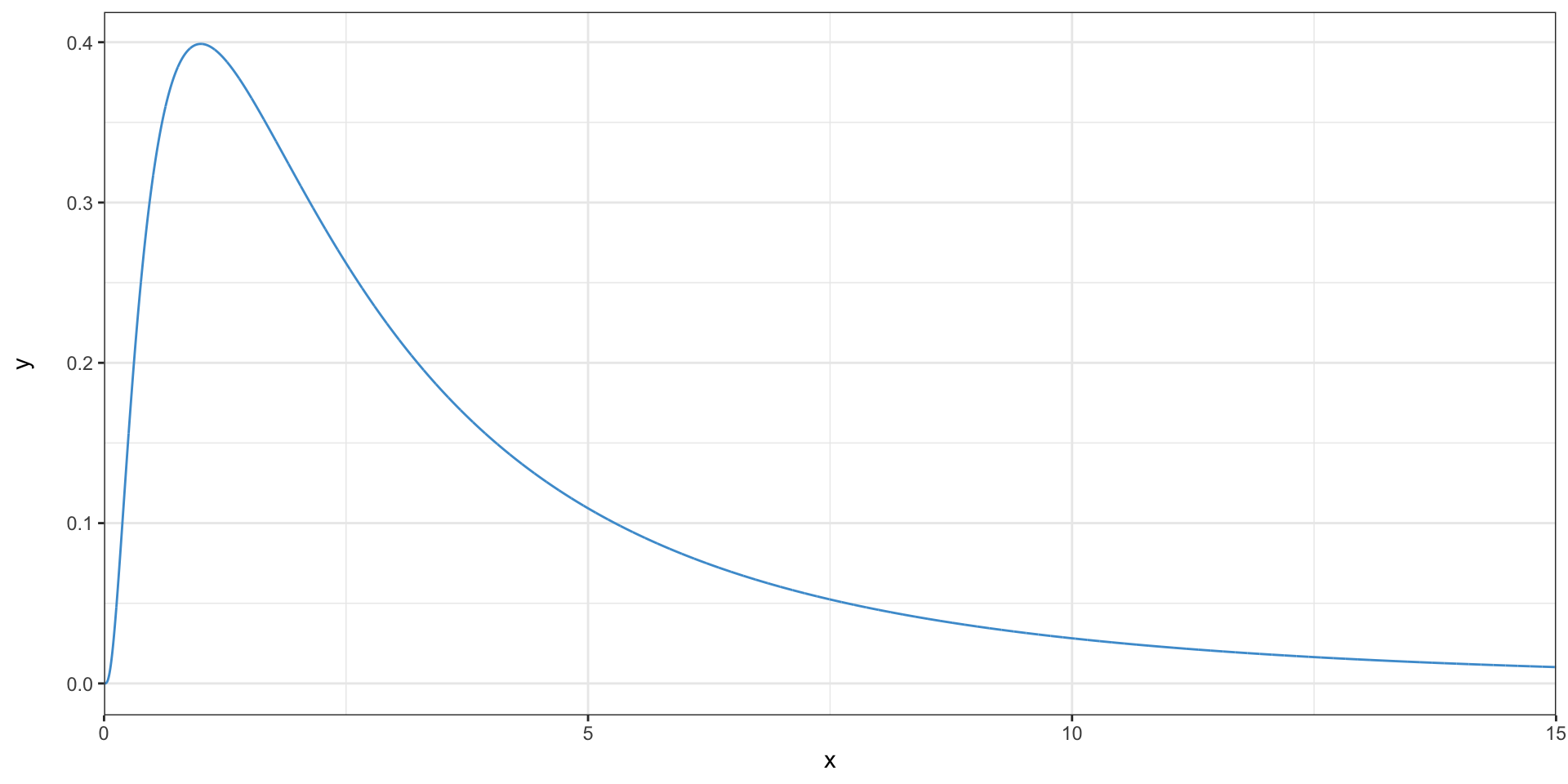
Sums of squared values from 1000 samples of size 4 from a normal distribution
Sums of squared values from 1000 samples of size 4 from a normal distribution
| Education | Rural | Urban | Total |
|---|---|---|---|
| College | 9 | 18 | 27 |
| High school or some college | 26 | 39 | 65 |
| Less than high school | 7 | 22 | 29 |
| Total | 42 | 79 | 121 |
=F5 * B8 / F8$ will “lock” that label, so that expanding will not change it
$F$8 will always select F8, even when expanded$F8 will always select column F, but the row number will change when expanded downF$8 will always select row 8, but the column will change when expanded across=F5 * B8 / F8
=$F5 * B$8 / $F$8
| Rural | Urban |
|---|---|
| 9.37 | 17.63 |
| 22.56 | 42.44 |
| 10.07 | 18.93 |
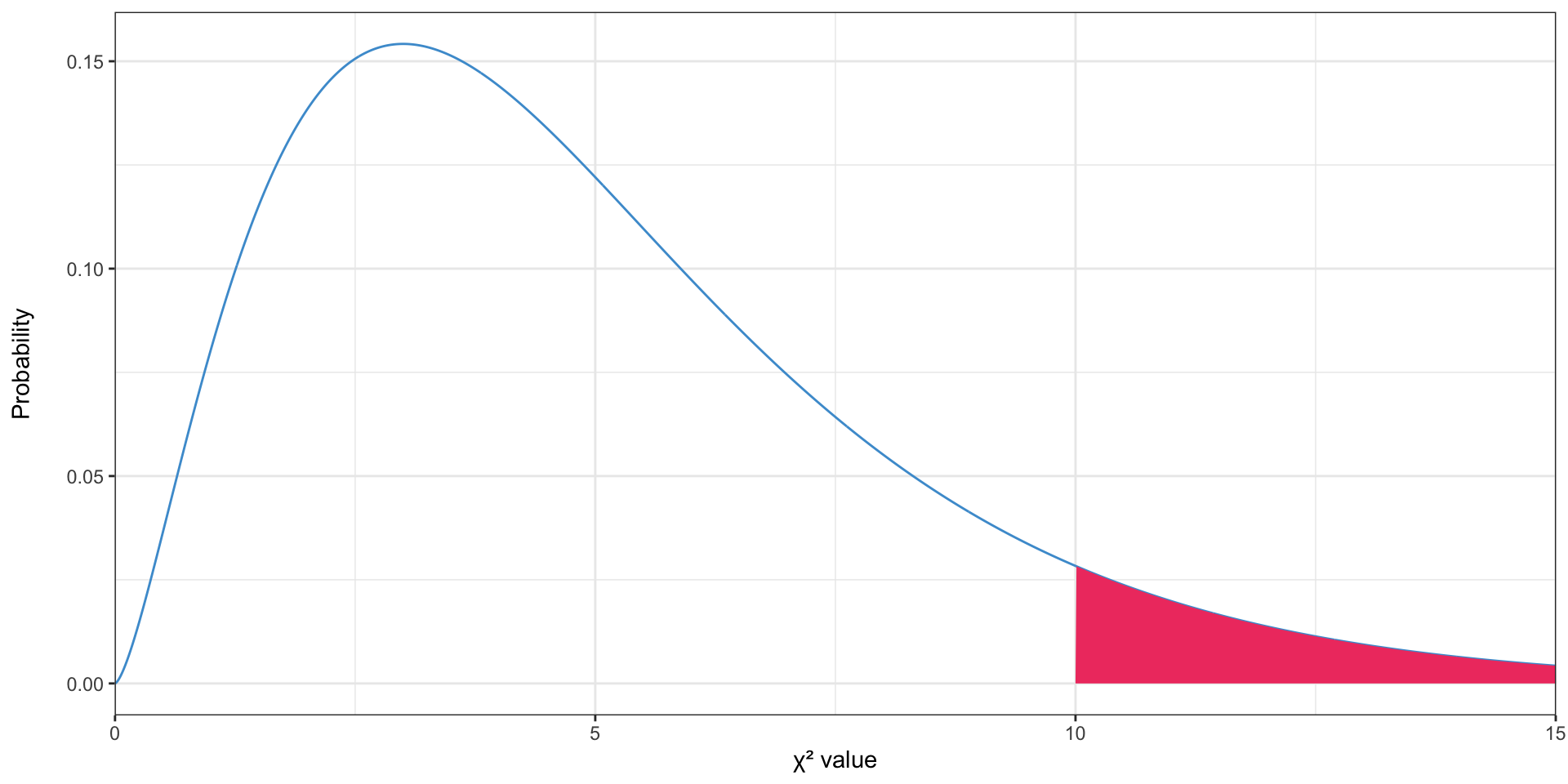
=(B5-B10)^2/B10=SUM(B13:D14)CHISQ.DIST to get the p-valueCHISQ.DIST.RT variant=CHISQ.DIST.RT(B18, 2): 0.324CHISQ.TEST function=CHISQ.TEST(actual, expected) where actual and expected are cell ranges
=CHISQ.TEST(B5:D6, B13:D14)| Marital Status | Rural | Urban | Total |
|---|---|---|---|
| Divorced | 6 | 7 | 13 |
| Married, spouse absent | 1 | 0 | 1 |
| Married, spouse present | 16 | 30 | 46 |
| Never married/single | 16 | 39 | 55 |
| Separated | 2 | 1 | 3 |
| Widowed | 1 | 2 | 3 |
| Total | 42 | 79 | 121 |
| Rural | Urban |
|---|---|
| 4.51 | 8.49 |
| 0.35 | 0.65 |
| 15.97 | 30.03 |
| 19.09 | 35.91 |
| 1.04 | 1.96 |
| 1.04 | 1.96 |
Zhang et al. (2022)
Zhang et al. (2022)
Zhang et al. (2022)

This work by Matthew Bhagat-Conway is licensed under a Creative Commons Attribution 4.0 International License.
